Tendance des populations de Lézard ocellé sur le littoral et facteurs de risque
Les résultats présentés s’appuient sur les suivis réalisés entre 2017 et 2025 sur 79 placettes entre la Pointe de Grave (au nord) et l’embouchure de l’Adour (au sud), exception faite de la zone militaire vers Biscarosse.
Évolution de la présence du Lézard ocellé : une tendance à la baisse
En Gironde, les secteurs de présence entre Hourtin et Lège-Cap-Ferret se maintiennent. Dans les Landes, on constate une régression de l’espèce, particulièrement sur sa limite sud. Il semble en revanche se maintenir dans le secteur de Seignosse.
La carte de l’évolution de la probabilité de présence nous apprend que, sur la majorité des secteurs, en 8 ans, la tendance de l’occupation par le Lézard ocellé sur les placettes suivies est plutôt à la baisse avec une importante variabilité interannuelle.
Description des cartes
Trois cartes sont présentées. Pour chacune, le fond de carte représente le littoral depuis la Pointe de Grave jusqu’à l’embouchure de l’Adour). L’océan est représenté en bleu sur toutes les cartes ; le contient est en blanc sur les cartes de gauche et de droite, et de couleur ocre sur la carte du milieu.
Que représentent ces cartes ?
– Celles de droite et de gauche montre la probabilité de présence du Lézard ocellé en 2017 (carte de gauche) et en 2025 (carte de droite) sur les placettes de suivies. Des ronds, dont la couleur et la taille varient, donnent la probabilité de présence sur une placette considérée. Plus le rond est petit, plus la probabilité de présence est faible. Les plus gros ronds, en vert foncé, représentent une probabilité de présence située entre 95 et 100%. Les ronds vert clair, plus petit, représentent une probabilité entre 90 et 95%.
– La carte du milieu compare les probabilités de présence de chaque placette entre 2017 et 2025. Elle rend compte de l’évolution de cette probabilité. Les couleurs rouges et orangées sont utilisées pour des évolutions négatives (probabilités de présence diminuant de 1 à 10% par an). Plus le rond est gros, plus l’évolution est négative. Les couleurs bleues (foncé et clair) sont utilisées pour les évolution positives (entre 1 et 10%). Il y a beaucoup plus de ronds de la gamme rouge-orangée que de la gamme bleue.
Un facteur de risque : l’érosion du trait de côte
Un constat dès le démarrage de l’étude
Entre 2009 et 2016, , certaines placettes de suivis ont été déplacées. L’érosion marine, phénomène accentué par le changement climatique, a entrainé un tel recul du trait de côte que leur emplacement initial est maintenant sur la plage… 19 placettes sur les 79 initiales ont été déplacées.

Description de l’illustration
L’illustration représente 4 photos aériennes, toutes du même endroit, prises sur 4 années différentes : 2099, 2014, 2017 et 2022. Ce sont des photos aériennes centrées sur le même site de suivi matérialisé en rouge sur les photos.
On observe, d’année en année, que la limite de la plage se rapproche du site de suivi : la dune s’érode.
Mais l’érosion n’est pas uniforme sur le littoral : les dynamiques sont variables selon les courants marins, la physionomie de la côte, les aléas extrêmes, les activités et infrastructures humaines…
Au niveau des placettes de suivi du Lézard ocellé, la côte s’érode pour 60% d’entre elles, tandis que les 40 % sont dans une dynamique d’accumulation de sédiments (données pour la période 2018-2023), comme le montre le graphe suivant.

Description du graphique
Ce graphique rend compte de l’évolution du trait de côte au niveau des placettes de suivi entre 2018 et 2023 : soit le trait de côte recule dans les terres (érosion), soit la quantité de substrat augmente, s’accumule et le trait de côte avance vers l’océan. Ceci entraine une évolution de la distance des placettes à ce trait de côte. Ce paramètre constitue l’abscisse du graphique.
En ordonnée, les placettes sont organisées selon la variation de distance, classée depuis la plus forte accumulation (jusqu’à plus de 150 m pour une donnée, en dessous de 20 m pour toutes les autres données d’accumulation) jusqu’à la plus forte érosion (autour de -37 m). Pour les placettes où la côte s’érode, hormis deux données supérieures à 25m, l’érosion est inférieure à 15 m.
Ce graphe donne donc une image de la dynamique du trait de côte entre accumulation (qui concerne 40 % des placettes) et érosion (60 % des placettes).
Des ronds de couleurs différentes sont disposés sur le graphique : ils signalent les placettes sur lesquelles l’indice d’observation du Lézard ocellé est le plus élevé en 2023. Il y a 6 ronds, 3 au niveau des placettes où il y a accumulation (entre 5 et 10m), et 3 pour des placettes où la côte s’érode plus ou moins fortement (entre 5 et 12 m).
Quel impact sur le Lézard ocellé
Les 6 placettes sur lesquelles l’indice d’observation moyen est le plus important (ronds de couleur sur le graphe précédent) sont dans des contextes d’érosion très différents les uns des autres. Mais sur chacune, l’indice est en baisse au fil des ans, comme le montre le graphique suivant.

Description du graphique
Ce graphique a pour abscisse les années (2018 à 2023) et pour ordonnée l’indice d’observation moyen.
6 courbes représentant chacune l’évolution de l’indice d’observation d’une placette (il y a une couleur par courbe, ces couleurs étant les mêmes que pour les ronds du graphe précédent localisant les placettes avec les indices les plus élevés sur le graphe de l’évolution de la distance à la côte des placettes).
Toutes ces courbes ont une tendance à la baisse, même si le niveau de baisse ou les variations interannuelles de chacune diffèrent.
Si l’on regarde maintenant l’ensemble des placettes situées dans des secteurs où le trait de côte recule, on constate que plus l’érosion est importante, plus il est probable que les Lézards ocellés ne soient plus présents. Sur le graphe ci-dessous, la « probabilité d’extinction » correspond à l’absence de lézard d’une année sur l’autre : elle augmente quand l’érosion est plus importante.

Description du graphique
Ce graphique a pour abscisse la variation de la distance au trait de côte entre 20218 et 2025 des placettes (entre -40 m à gauche et 0 à droite), et pour ordonnée le taux d’extinction estimé pour chaque placette sur la période 20217-2025 : il varie entre 0,1 et 0,3. Plus il est bas, plus le risque d’extinction est faible.
Chaque placette est positionnée sur le graphe en fonction de ces deux valeurs. Elles sont représentées par des points noirs. Celles qui sont nommées (par exemple LO-33-34 sont celles pour lesquelles la variation de distance au trait de côte est supérieure à 10 m.
Une droite de régression est calculée à partir de ces points (droite en bleu sur le graphe ; la zone grisée représentant l’intervalle de confiance). La pente de cette droite montre que le risque d’extinction diminue quand l’érosion diminue.
Ces deux analyses mettent en évidence l’importance de l’érosion comme facteur négatif pour le maintien du Lézard ocellé sur le littoral aquitain, mais ce n’est pas le seul facteur. D’autres paramètres sont indispensables au Lézard ocellé pour son cycle de vie.
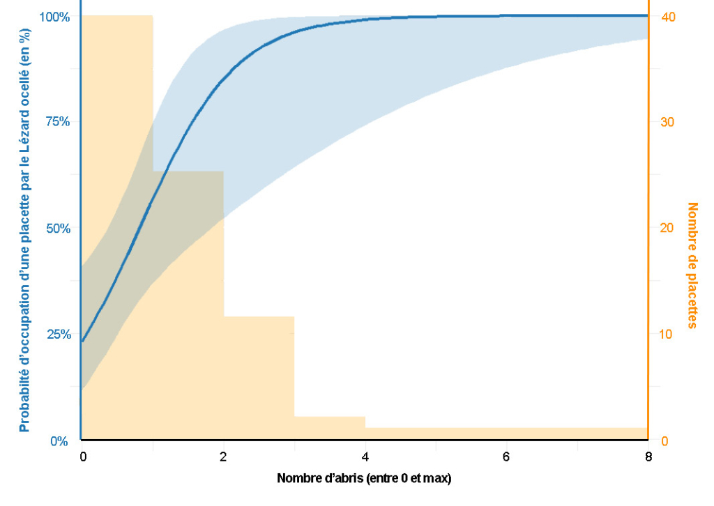
L’importance des abris
La présence d’abris (terriers de lapin, anciens blockaus, pins anamorphosés,…) semble un élément clé de la présence du Lézard ocellé, comme le montre le graphe ci-contre.
Description du graphique
En abscisse : le nombre d’abris entre 0 et 8 (soit le maximum compté sur une placette).
En ordonnée bleue, à gauche : la probabilité d’occupation d’une placette par le Lézard ocellé de 0 à 100%. Ce sont les valeurs de la courbe bleue (zone bleutée = intervalle de confiance) qui lie la probabilité de présence au nombre d’abris (à partir de 4 abris, la probabilité de présence est de 100%).
A droite, l’ordonnée orange renseigne le nombre de placettes sur lequel il y a 0, 1, 2, etc jusqu’à 8 abris. Le nombre de placette pour chaque valeur d’abri est représenté en histogramme et permet de voir la typologie réelle des placettes selon le paramètre abri.

Le rôle de la structure du milieu
L’hétérogénéité de la structure de la dune grise participe à la présence du lézard ocellé. La fermeture de ce milieu par la colonisation du Pin maritime dans certains secteurs est aussi un facteur de risque pour le maintien du Lézard ocellé sur le littoral. La probabilité d’extinction, soit la probabilité que le Lézard ocellé ne sois plus présent d’une année sur l’autre sur une même placette, augmente avec le recouvrement par la strate buissonnante, comme le montre le graphe ci-contre.
Description du graphique
Ce graphique a pour abscisse le recouvrement moyen de la strate buissonnante dans les placettes (entre 5 et 40%) et pour ordonnée la probabilité d’extinction du Lézard ocellé entre 0 et 1.
La droite en rouge représente le lien entre ces deux type de données (intervalle de confiance en rosée). La relation entre les deux types de connées est positive : plus la strate buissonnante est importante, plus la probabilité d’extinction augmente.

De manière générale, entre érosion et colonisation par les pins, la dune grise régresse (voir les résultats des suivis réalisés par le CBNSA).
Des analyses permettant d’envisager la gestion
Il est donc indispensable d’envisager des actions de gestion favorisant le maintien de la dune de grise et, plus généralement, de la succession des habitats dunaires, mais aussi de favoriser la possibilité pour le Lézard ocellé de trouver des habitats favorables plus à l’intérieur des terres :
- Coupe des pins colonisant la dune grise,
- Création de zones d’accommodation, soit de secteurs non boisés au sein des plantations en arrière-dune, et de couloirs de déplacements ouverts.
Cet article s’appuie sur le travail de Thomas Archambaud, stagiaire en 2025 à Cistude Nature.
Publié le 4 janvier 2024 / Modifié le 5 décembre 2025